Skip to content
OrganxyLab
Search
K
Main Navigation
首页
进入笔记库
每周音乐榜
进入工具库
Appearance
宽屏
Menu
Return to top
On this page
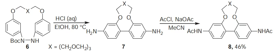
Zinin 联苯胺重排反应
重要程度: ⭐⭐
简介
酸催化下氢化偶氮苯重排得到4,4-二氨基联苯 (benzidine)和2,4-二氨基联苯的反应。
机理
特点
注意事项
相关案例