Bischler-Napieralski 反应
重要程度: ⭐⭐
简介

N-酰基β-苯乙胺在脱水试剂(POCl3, P2O5, PPA, TFAA, 或Tf2O)中关环脱水得到3,4-二氢异喹啉的反应被称为Bischler–Napieralski反应。此反应最早由Bischler和Napieralski在1893年报道,此反应相当于进行了分子内的FC酰基化,当以POCl3作为脱水剂时机理类似与分子内的Vilsmeier-Haack甲酰化类似,因此富电子芳环才能得到较高的产率。当底物胺的α位有羟基取代时,会多脱一分子水得到异喹啉。反应生成的二氢异喹啉也可以通过氧化的方法转化为异喹啉。反应通常在甲苯或二甲苯中回流反应,也有在低沸点的乙腈或二氯甲烷中反应的报道。
机理
底物在POCl3, PCl5, 或 SOCl2等脱水试剂存在下先生成了亚胺酰氯(imidoyl chloride)中间体,接着脱去一个氯离子生成腈鎓离子(nitrilium salt),关环,芳构化得到产物。

特点
注意事项
Augustus Bischler和其合作者B. Napieralsk在瑞士巴塞尔化工厂研究生物碱的时候发现了Bischler–Napieralski反应。
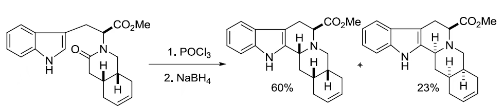
相关案例


非常规的Bischler–Napieralski反应
