Skip to content

Criegee 烯烃臭氧化

中文: 烯烃臭氧化 重要程度: ⭐⭐⭐

简介

hevc.jpeg

机理

hevc.jpeg

特点

IMG_2002.jpeg

注意事项

相关案例

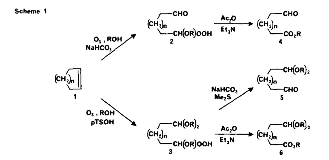
这两个反应都是非常规的反应,有一定的研究价值。

一般我们认为criegee都是与zn等断裂双键来处理氧化。

hevc.jpeg

反应1

IMG_2003.jpeg

反应二就不一样了,这他吗是一个拜耳魏立格重排?!!,不难看出添加一个氧确实是这样的,,

原文说了,这玩意低温下面就不会发生criegee,反而发生魏立格重排,我他妈看了半个小时告诉我这不是criegee。。:ogx生气:

基于 MIT 许可发布