Fries 重排
重要程度: ⭐⭐⭐
简介

二十世纪初,K. Fries和G. Finck等人报道了在氯化铝存在下乙酸或氯乙酸苯酯反应得到邻位或对位的乙酰基(氯乙酰基)苯酚。在此之前也有很多Lewis酸催化相似重排反应的报道,但Fries发现此类苯酯的重排是普遍现象。在Lewis酸或Brönsted酸存在下,酚酯重排得到 2-或4-酮基(醛基)苯酚的反应被称为Fries重排反应,也被称为Fries-Finck重排。
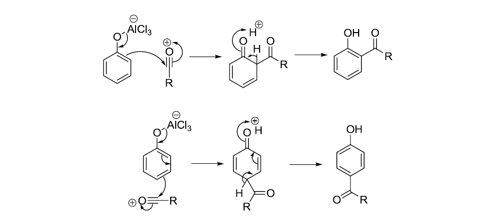
机理
反应中会离子中间体,但具体通过分子内或分子间还有争议,很多报道认为两种历程同时存在,具体通过哪个历程进行和反应条件有关。光催化的Fries重排则是通过自由基中间体进行。


特点
一、在至少一个当量的Lewis酸或Brönsted酸(e.g., HF, HClO4, PPA)存在下,通常要加热到较高温度(80-180 °C)下反应;
二、此反应时间要几分钟到数小时不等;
三、能够催化FC酰基化的Lewis酸都可以催化此反应,一些固体酸(e.g., 沸石, 中孔分子筛)和三氟甲磺酸金属盐可以用于此反应;
四、苯酚上有给电子取代基时产率最高,但有吸电子取代基时反应产率很低或不反应;
五、多烷基取代的苯酚发生此反应时,通常会发生烷基迁移产物;
六、Fc酰基化通常是两步反应历程:先生成酚酯,接着进行Fries重排;
七、重排生存对位或邻位取代产物的选择性与反应条件高度相关(反应温度,反应类型,催化剂量和溶剂极性等);
八、高温无溶剂条件下主要生成邻位酰基化产物,而低温条件下主要生成对位产物;
九、随着溶剂极性的增加对位酰基化产物会增多。
注意事项
此反应有两种变体:
一、在光催化下酚酯也可以发生此重排反应,被称为光催化Fries重排;
二、阴离子邻位Fries重排,氨基甲酸苯酯的邻-锂盐进行分子内的[1,3]-酰基迁移生成取代水杨酰胺
相关案例

炔烃也可以fries

光催化的fries

硫代Fries重排+夸芳烃

Karl Theophil Fries (1875-1962) 生于莱茵河畔威斯巴登附近的肯得里希。在Theodor Zinck指导下获得博士学位。尽管G. Finck和Fries共同发现了酚酯重排反应,但他的名字却被历史遗忘,Fries重排应该被称为 Fries-Finck重排。