环加成反应
中文: 环加成反应 重要程度: ⭐⭐
环加成指的是对两对共轭体系讨论,如da加成,2+2等等。
单共轭体系的反应见:
环加成分为同面-同面加成,同面-异面加成。但是无论如何,反应必需由一个HOMO和一个LUMO组成。(均为基态)如可以是丁二烯的基态HOMO与乙烯的基态LUMO进行同面,同面加成。也可以是丁二烯的基态LUMO与乙烯的基态HOMO进行同面,同面加成。
| pi电子数(两个总和) | 4n+2 | 4n |
|---|---|---|
| 同面-同面 | 🔺 | hv |
| 同面-异面 | hv | 🔺 |
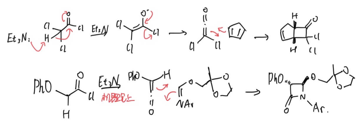
【2+2】
两个2表示两个含有2个π电子的反应物,常见形式为两个烯烃环加成形成四元环,其中一个烯烃一般与其他基团共轭。

[2+2]环加成反应属于4n π电子体系,一般情况下,在加热条件下无法反应(烯酮类除外),需在光照条件下进行,原因如下: 加热时,两个烯烃的HOMO和LUMO不对称,相位相反,无法发生重叠。 光照时,其中一个烯烃的一个电子从π激发到π反键轨道上

[2+2]环加成反应得到的是含有张力的四元环,虽然不太稳定,但无法从产物回到原料,也就是说不可逆。 主要原因为:在光照条件下形成的四元环,π键变成了两个σ键,没有低能的空轨道(π反键轨道)让光把电子带入其中,因此四元环无法吸收光回到两个烯烃的状态。
机理

相关案例
一般常见于烯酮或者是异氰酸酯

【4+2】
最常见于da反应。
自己看吧我不想写了