Skip to content

Hinsberg 吡咯噻吩合成

简介

hevc.jpeg

hevc.png

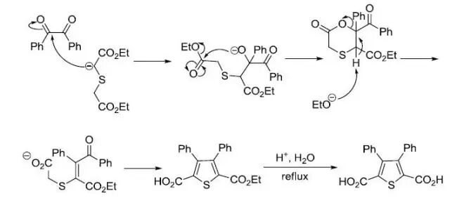
硫代二甘酸二乙酯和α-二酮在碱性条件下缩合得到3,4-二取代噻吩-2,5-二甲酸酯,然后水解生成相应的酸的反应。

同时,这个类似的用二(2-乙酸酯基)胺和草酸二甲基在碱性条件下缩合得到吡咯。

机理

这不就是碳负离子清亲核加成消除吗?我都会

hevc.jpeg

特点

注意事项

相关案例

hevc.jpeg

基于 MIT 许可发布