Skip to content

Michael加成

中文: 麦克尔加成 重要程度: ⭐⭐⭐

hevc.jpeg

麦克尔加成,是一种基于ab不饱和醛酮的1.4加成

最初此反应仅指由碳负离子和与羰基连结的缺电子双键的1,4-加成反应(亲核加成反应)。但现在此反应还包括与其它吸电子团结合的缺电子双键或三键化合物的反应,另外,把RLi, RMgX等有机金属化物或胺/烷氧化合物当作给电子体的反应也包含在麦克尔加成反应之内。

该反应与先前的Aldol缩合,组成了Robinson(罗宾森关环反应)

Aldol缩合

Robinson 关环反应

可以提供alpha-h常见的给体如下:

hevc.jpeg

常见受体如下:

hevc.jpeg

反应机理:

hevc.jpeg

hevc.jpeg

注意事项

铜锂试剂对ab不饱和醛酮采用的是12加成,因为位阻问题

酮,酯,腈,硝基均可以

相关案例

hevc.jpeg

hevc.jpeg

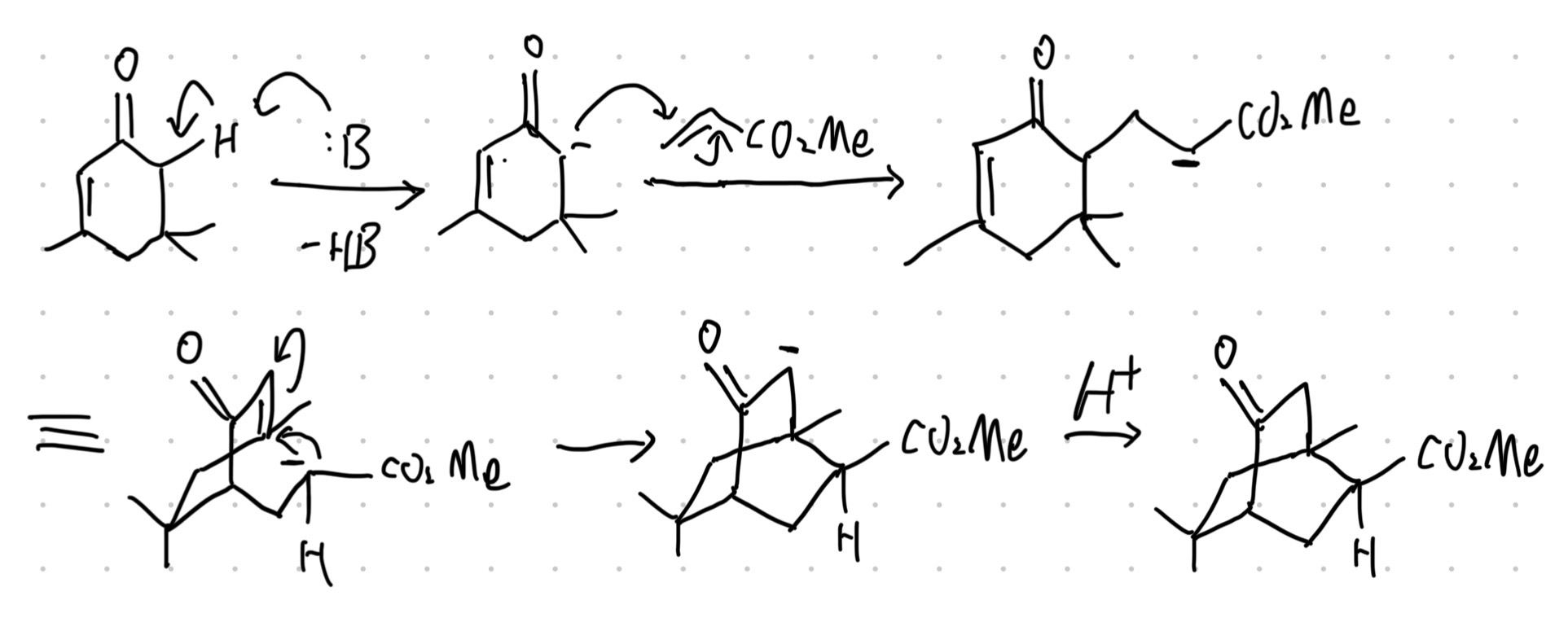
分子内的Micheal加成:

hevc.jpeg

michael甚至可以在反应里发生两次:

IMG_2013.jpeg

甚至能作为甾体化合物的合成(两次michael,一次羟醛缩合,当然你也可以理解为一次michael,一次Robinson)

IMG_2014.jpeg

缩合反应关系总表:

分类羟醛缩合羟醛缩合羟醛缩合羟醛缩合酰烃基化酰烃基化活性亚甲基活性亚甲基酯的缩合酯的缩合芳香醛参与芳香醛参与氰基参与其他类烯醇缩合反应其他类烯醇缩合反应其他类烯醇缩合反应其他类烯醇缩合反应叶立德介导缩合叶立德介导缩合叶立德介导缩合金属介导缩合
名称分类自身缩合交叉缩合交叉缩合定向缩合烃基化反应酰基化反应Knoevenagel反应Stobber反应Claisen反应Claisen反应Perkin反应Benzoin(安息香)缩合Stetter 反应Mannich反应Michael加成Darzens反应Morita-Bayliss-Hillman反应磷叶立德磷叶立德硫叶立德Reformatsky反应
细节分类Aldol缩合Aldol缩合Claisen-Schmidt反应Mukaiyama Aldol 反应α-H的烷基化α-H的酰基化Knoevenagel 反应Stobbe 缩合Claisen 酯缩合反应Dieckmann 酯缩合反应Perkin 反应Benzoin 缩合Stetter 反应Mannich反应Michael加成Darzens 反应Morita-Bayliss-Hillman 反应Wittig 反应Horner–Wadsworth–Emmons 反应Corey-Chaykovsky 反应Reformatsky 反应
改进/衍生反应Robinson 关环反应Robinson 关环反应Robinson 关环反应Robinson 关环反应//Doebner 反应///Erlenmeyer-Plöchl 反应///Robinson 关环反应/Bayliss-Hillman反应(换成DABCO催化)Horner–Wadsworth–Emmons 反应Masamune-Roushfy反应//
底物醛+醛/酮+酮醛+醛/酮+酮无α-H芳香醛 + α-H的脂肪醛/酮指定酯/酮/醛 + 卤代烃/苄卤/硫酸酯等酯/酮/醛 + 酰氯/酸酐等具有活性亚甲基 + 醛/酮丁二酸酯 + 醛/酮两分子酯单分子酯芳香醛 + 酸酐芳香醛(无α-H)醛 + α,β-不饱和酮酮/醛/硝基化合物/腈/末端炔烃/芳环化合物 + 胺 + 甲醛(或其他)酮/醛/硝基化合物/腈/酯类 + α,β-不饱和羰基醛/酮 + α-卤代酸酯醛/酮/亚胺 + α,β-不饱和醛/酮/酸/酯/腈/酰胺醛/酮 + 磷叶立德试剂醛/酮 + 霍纳尔试剂(膦酸酯)醛/酮/α,β-不饱和羰基化合物/环氧化物 + 硫叶立德试剂醛/酮 + α-卤代酯
烯醇活化基团///预活化(硅基保护)/强碱(LDA)视情况(酯-COOR,其他需要强碱)视情况(酯-COOR,其他需要强碱)-COOR, -CN, -NO2-COOR-COOR-COOR/(酸酐提供)//(氰基提供)///含氮强碱///-COOR
反应条件强碱/弱酸强碱/弱酸强碱/弱酸强碱/弱酸强碱(LDA/醇钠/氢氧化钠/氢化钠)强碱(LDA/醇钠/氢氧化钠/氢化钠)弱碱(胺类)强碱(醇钠/氢化钠/叔丁基钠/三苯基钠)强碱(醇钠/氢化钠/叔丁基钠/三苯基钠)强碱(醇钠/氢化钠/叔丁基钠/三苯基钠)对应的酸酯-CN-CN弱酸强碱(醇钠/氢氧化钠/氨基钠/氢化钠/叔丁基钠/季铵碱/哌啶)强碱(醇钠/氢氧化钠/氨基钠/氢化钠/叔丁基钠/季铵碱/哌啶)强碱(三级胺/三级膦)强碱(醇钠/氢氧化钠/氨基钠/氢化钠/叔丁基钠/季铵碱/哌啶)强碱(醇钠/氢氧化钠/氨基钠/氢化钠/叔丁基钠/季铵碱/哌啶)强碱(醇钠/氢氧化钠/氨基钠/氢化钠/叔丁基钠/季铵碱/哌啶)锌金属活化生成有机锌试剂         (R-Zn-X)以及弱碱
产物β-羟基羰基化合物β-羟基羰基化合物β-羟基羰基化合物β-羟基羰基化合物α-烃基化酯/酮/醛α,β-不饱和羰基化合物γ-酮酯β-酮酯成环的β-酮酯α,β-不饱和羧酸安息香及其衍生物1,4-二羰基化合物β-氨基酮(Mannich碱)1,5-二羰基化合物(狭义)α,β-环氧酸酯α,β,gamma-不饱和羰基醇取代物烯烃α,β-不饱和酸酯环氧化物β-羟基酯
选择性混乱有高度选择性有高度选择性视情况视情况有高度选择性视情况视情况视情况有高度选择性视情况视情况视情况视情况(与羰基/双键均可加成)视情况视情况有高度选择性有高度选择性视情况视情况
特点醛或酮的α-H被碱夺取,生成烯醇负离子,进攻另一分子羰基化合物,最终生成β-羟基羰基化合物或α,β-不饱和羰基化合物醛或酮的α-H被碱夺取,生成烯醇负离子,进攻另一分子羰基化合物,最终生成β-羟基羰基化合物或α,β-不饱和羰基化合物醛或酮的α-H被碱夺取,生成烯醇负离子,进攻另一分子羰基化合物,最终生成β-羟基羰基化合物或α,β-不饱和羰基化合物醛或酮的α-H被碱夺取,生成烯醇负离子,进攻另一分子羰基化合物,最终生成β-羟基羰基化合物或α,β-不饱和羰基化合物酯/酮/醛的α-H在强碱作用下脱质子生成烯醇负离子。随后烯醇负离子进攻烃基化试剂,形成α-烃基化产物。酯/酮/醛的α-H在强碱作用下脱质子生成烯醇负离子。随后烯醇负离子进攻酰氯或酸酐形成α-酰基化产物。底物含有吸电子基团(EWG)(如-COOR、-CN、-NO₂),显著增强α-H酸性,使反应在弱碱条件下即可进行。底物含有吸电子基团(EWG)(如-COOR、-CN、-NO₂),显著增强α-H酸性,使反应在弱碱条件下即可进行。酯的α-H酸性较弱,需强碱催化形成烯醇负离子,发生分子间或分子内缩合。酯的α-H酸性较弱,需强碱催化形成烯醇负离子,发生分子间或分子内缩合。芳香醛的α-H因共轭效应酸性较弱,需特殊活化方式。(安息香缩合反应通过极性翻转实现)芳香醛的α-H因共轭效应酸性较弱,需特殊活化方式。(安息香缩合反应通过极性翻转实现)与此反应构成竞争的是1,2-加成的安息香缩合反应。但安息香缩合反应是可逆的,而Stetter反应的产物又更稳定,因此主要产物是1,4-加成产物。α-H被胺活化形成亚胺中间体,再与甲醛缩合。烯醇负离子对α,β-不饱和羰基化合物的共轭加成。烯醇负离子对卤代酸酯的亲核取代,形成环氧环。在亲核性碱催化下,共轭羰基化合物(α,β-不饱和酯/酰胺/腈/酮)的α-位和碳亲电试剂(醛,活化酮,醛亚胺Michael加成受体)形成C-C键由三苯基膦卤代烃在强碱作用下生成磷叶立德,其碳负离子进攻羰基碳,形成氧磷杂四元环(偶及中间体)。随后磷酸基团离去,生成烯烃或α,β-不饱和酸酯由三苯基膦卤代烃在强碱作用下生成磷叶立德,其碳负离子进攻羰基碳,形成氧磷杂四元环(偶及中间体)。随后磷酸基团离去,生成烯烃或α,β-不饱和酸酯硫叶立德的碳负离子进攻羰基碳,形成硫氧杂四元环。随后硫醚离去,生成环氧化物或环丙烷。锌还原α-卤代酯生成有机锌试剂,后对羰基进行亲核加成。形成β-羟基酯锌盐,水解后生成β-羟基酯
进一步反应脱水脱水脱水脱水可能伴有酮式消去可能伴有酮式消去/////////水解////脱水
进一步产物α,β-不饱和醛/酮α,β-不饱和醛/酮α,β-不饱和醛/酮α,β-不饱和醛/酮产物视情况产物视情况/////////γ-酮酸或醛////α,β-不饱和酸酯

:::

基于 MIT 许可发布