Skip to content
OrganxyLab
Search
K
Main Navigation
首页
进入笔记库
每周音乐榜
进入工具库
Appearance
宽屏
Menu
Return to top
On this page
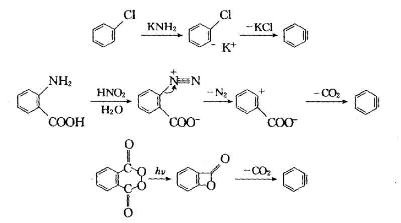
Benzynes 制备
中文: 苯炔的制备
简介
卤代芳烃,邻氨基苯甲酸,过氧化邻苯二甲酸酐等分别在强碱,亚硝酸以及光照处理下生成苯炔,苯炔可以与亲核试剂发生加成反应。
机理
特点
注意事项
相关案例