Skip to content

Polonovski-Potier 反应

重要程度: ⭐⭐

简介

hevc.jpeg

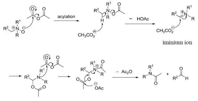
叔胺的氮氧化物用活性试剂(如乙酸酐)处理,重排生成N,N-二取代乙酰胺和醛的反应。此反应由Polonovski在1927年首先报道。1968年,Potier改进了此反应,利用三氟乙酸酐代替乙酸酐,可以使反应控制在亚胺阶段进行其他的衍生化反应,在生物碱研究中非常有用。

机理

hevc.jpeg

另一说法:分子内重排

hevc.jpeg

特点

注意事项

相关案例

基于 MIT 许可发布