Appel 反应
重要程度: ⭐⭐⭐
简介

三苯基膦,四卤化碳 (CCl4, CBr4) 与醇在温和的条件下转化为相应结构的卤代烷烃被称为Appel反应
机理
首先三苯基膦与四卤化碳反应被活化,随后醇的氧原子进攻卤代三苯基膦得到氧膦鎓盐中间体。卤离子进行SN2反应,三苯氧膦作为离去基团离去,在此过程中构型翻转。反应的推动力是三苯基氧膦的生成,其含有键能较强的 P=O 双键,利于反应进行。

特点
此反应的产率较高,反应在中性条件下进行,所以对那些对酸碱不稳定的醇的合成非常有用,手性醇反应后会发生构型反转。此反应最早由Lee等人在1966年报道,后来Appel对此反应进行了系统性的研究。
注意事项
此反应与 Mitsunobu 反应类似。只不过在Mitsunobu中是膦试剂和偶氮试剂参与反应,然后亲核试剂进攻翻转醇的立体构型。
相关案例


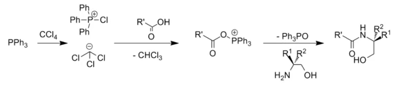
羧酸也很容易进行Appel反应,可以通过此方法恶唑啉类化合物,恶嗪类化合物和噻唑啉类化合物。

