Skip to content

Wurtz反应

中文: 伍兹反应 重要程度: ⭐⭐

简介

hevc.png

Wurtz偶联使用金属钠和两个卤代烷形成一个新的碳-碳键。首先,金属卤素交换形成碳负离子,然后以SN2方式攻击第二卤代烷。

机理

hevc.png

特点

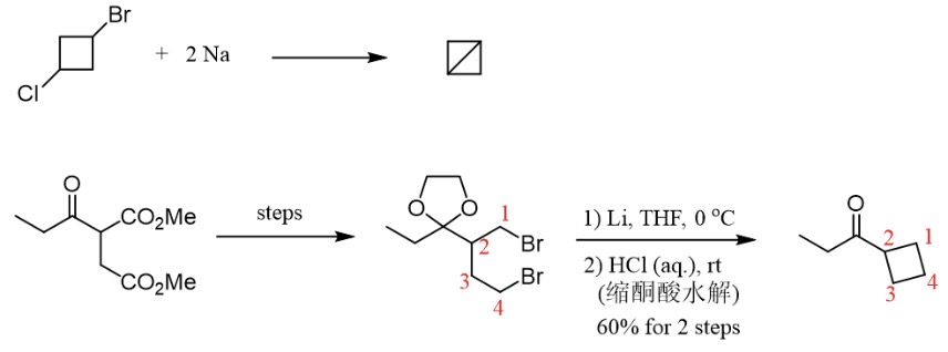
Wurtz反应的改进法是Freund反应,反应如下:

1,3二卤代烃在Zn或Na的作用下偶联生成环烃

IMG_1980.jpeg

注意事项

相关案例

IMG_1979.jpeg

基于 MIT 许可发布