Skip to content
OrganxyLab
Search
K
Main Navigation
首页
进入笔记库
每周音乐榜
进入工具库
Appearance
宽屏
Menu
Return to top
On this page
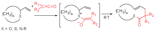
Belluš–Claisen 重排
Bellus-Claisen重排(烯酮与杂环)