Skip to content

Aza-Cope重排

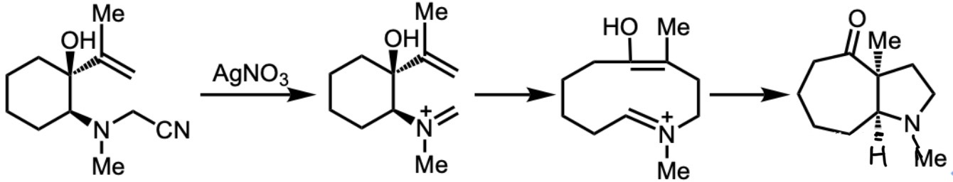
含氮分子也可以发生Cope重排,该类反应叫“aza-Cope重排”

IMG_2040.jpeg

在这个反应中,Ag+作为一个路易斯酸,脱去氰基。接下来发生一个[3,3]-σ-迁移重排,得到一个既含有一个烯醇基团,又含有一个亚胺基团的中间体。烯醇和亚胺相互反应,最后生成一个二元环的氨基酮。(疑似是一种michael?)

基于 MIT 许可发布