Skip to content

Knorr 吡咯合成

简介

hevc.png

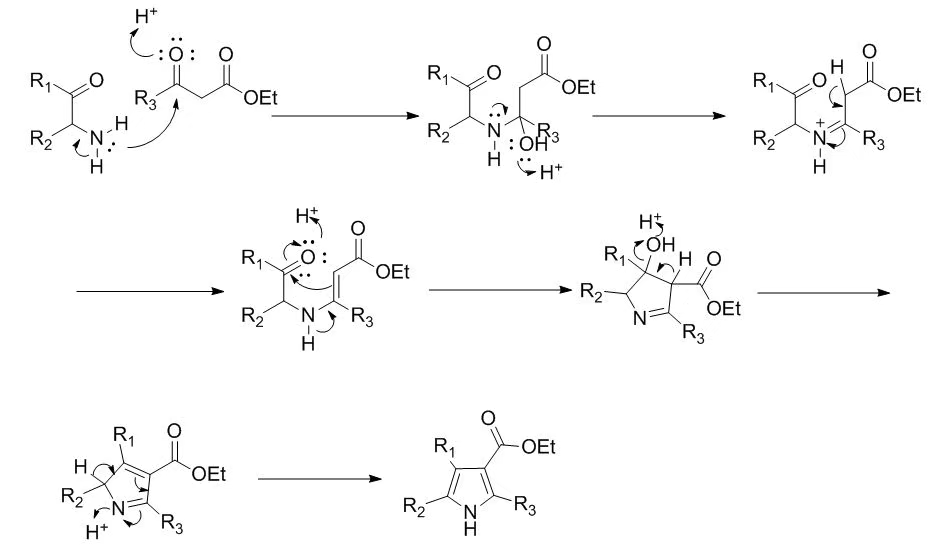
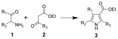
α-氨基酮和α位有活性亚甲基的羰基化合缩合得到吡咯的反应。该反应由德国化学家路德维希·诺尔(Ludwig Knorr)首先报道。一般地,氨基酮应做成盐酸盐,或原位生成中间体后立即参加反应(如以氨基肟作原料),以防止氨基酮发生自身缩合。

机理

hevc.png

特点

注意事项

相关案例

hevc.png

hevc.png

基于 MIT 许可发布