Lossen 重排
中文: 洛森重排 重要程度: ⭐⭐⭐
简介

活化的氧肟酸在加热或碱性条件下重排生成异氰酸酯的反应,称为Lossen重排。
机理
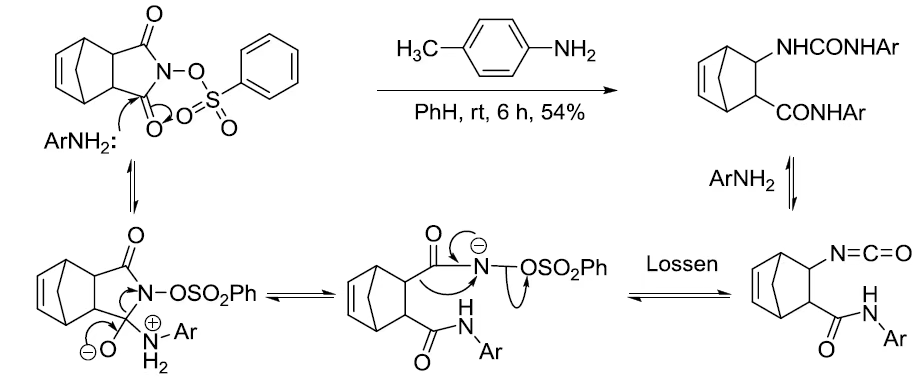
Lossen重排的机理与Curtius-、Hofmann-和Schmidt 重排类似。第一步是酰基氧肟酸的氮原子上脱质子化生成相应的盐,此盐相当不稳定,并迅速协同重排通过一个桥接阴离子中间体生成异氰酸酯。重排的速率很大程度上取决于取代基的电子性质,R3吸电子能力越强,R1和R2给电子能力越强,反应速率越高。

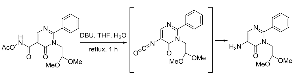
异氰酸酯在水中可以分解为相应的胺(图下半)

特点
氧肟酸在此反应条件下不会发生重排,只有活化后的氧肟酸才会发生反应,氮原子上离去基团的离去能力对此重排反应至关重要。常见的活化方法有:O-酰基化,O-芳基化,氯化,O-磺酰基化,多聚磷酸活化,碳二酰亚胺活化,Mitsunobu反应条件,硅基化等等。反应生成的异氰酸酯,可以转化为脲或者比原来氧肟酸少一个碳的胺,或者相应的保护的胺。
注意事项
这个反应可以视为一种1,2的迁移
相关案例
这个首先是酰氯来取代酰胺左边部分 得到一个苯环的氧肟酸,然后发生的lossen




含氮重排反应表:
| 名称分类 | Hoffmann 重排 | Beckmann 重排 | Wolff 重排 | Losen 重排 | Schmidt 反应 | Curtius 重排 |
|---|---|---|---|---|---|---|
| 改进 / 衍生反应 | Hoffmann-Löffler-Freytag 反应 | / | / | / | / | Shiori 改进法(DPPA 替代 NaN₃) |
| 底物 | 一级酰胺 | 酮肟 | α- 重氮酮 | O - 酰基异羟肟酸 | 羧酸、酮、醛 | 羧酸、酰卤、酯 |
| 特殊含氮基团 | N - 卤代酰胺中间体 | 肟基团(-C=N-OH) | 重氮基团(-N₂) | 异羟肟酸酯基团 | 叠氮酸(HN₃)或烷基叠氮 | 酰基叠氮中间体 |
| 反应条件 | 次卤酸盐 + 强碱,加热 | 强酸或 Lewis 酸 | 光解 / Ag₂O 催化,加热 | 强碱,加热 | 强酸 / Lewis 酸,加热 | 叠氮化物,惰性溶剂加热 |
| 产物 | 少一个碳的伯胺 | N - 取代酰胺 | 烯酮 | 异氰酸酯 | 羧酸→伯胺;酮→酰胺;醛→腈 | 异氰酸酯 |
| 选择性 | 构型保留 | 反式迁移(与羟基反位基团) | 迁移基团构型保留 | 迁移基团构型保留 | 基团迁移能力决定产物 | 迁移基团构型保留 |
| 特点 | 1,2 - 重排;协同重排 | 1,2 - 重排;立体专一性 | 1,2 - 重排;协同 / 碳烯机制 | 1,2 - 重排;分步重排 | 1,2 - 重排;高活性 | 1,2 - 重排;协同重排 |
| 进一步反应 | 异氰酸酯水解 | 酰胺水解 / 还原 | 烯酮与水 / 醇 / 胺反应 | 异氰酸酯水解 / 醇解 / 氨解 | 异氰酸酯水解 | 异氰酸酯水解 / 醇解 / 氨解 |
| 进一步产物 | 胺、氨基甲酸酯、脲 | 羧酸、胺 | 羧酸、酯、酰胺 | 伯胺、氨基甲酸酯、脲 | 胺、酰胺 | 伯胺、氨基甲酸酯、脲 |