Skip to content

Oppenauer氧化

中文: 欧芬脑尔氧化 重要程度: ⭐⭐

hevc.jpeg

欧芬脑尔氧化,是采用异丙醇铝等铝醇盐实现的羟羰互换的一种氧化方式。该反应对如丙酮与异丙醇二者可以互换,该反应为可逆反应。

是一个由二级醇制备酮的有效方法,目前应用不是很广,适用于含不饱和键或对酸不稳定的二级醇。一级醇可以不受破坏,虽也可以氧化为相应的醛,但存在副反应羟醛缩合反应,效果并不很好。醇类的选择性氧化反应。尤其是适用于仲醇。绝大部分的酮和醛都能用作氢受体。

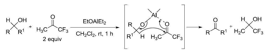
机理

hevc.png

欧劳脑尔的逆反应为麦尔外因彭多夫还原,其使用的试剂与该反应一致。

Meerwein–Ponndorf–Verley还原

实例:

非标准催化剂的:

hevc.png

hevc.png

常规:

hevc.png

hevc.png

基于 MIT 许可发布