Schmidt 重排
重要程度: ⭐⭐⭐
简介

Schmidt反应是指酸催化下叠氮酸或叠氮化合物和亲电试剂(羧酸,羰基化合物,叔醇和烯烃)反应重排放出氮气得到胺,腈,酰胺或亚胺的反应。
机理
羰基化合物为底物:
叠氮酸和酮反应先得到叠氮醇中间体,进而重排得到Ritter中间体,水解得到酰胺:

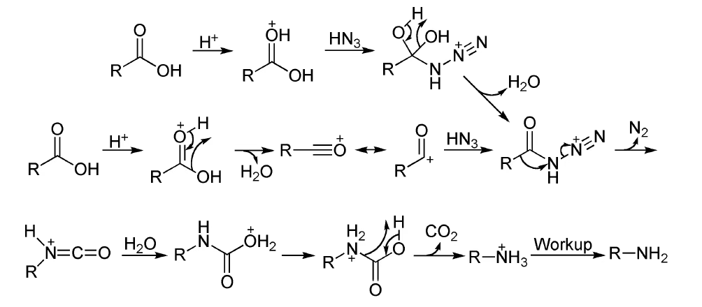
羧酸为底物的机理
叠氮酸和羧酸反应得到酰基叠氮化合物,重排的异氰酸酯,其水解得到氨基甲酸或溶剂解得到氨基甲酸酯。进而脱酸可以得到胺。(一步)

烯烃和叔醇为底物机理:
叠氮酸先和烯烃进行类似于氢卤酸的亲电加成,生成的烷基叠氮重排得到亚胺。叔醇在酸性条件下生成碳正离子,机理类似。

特点
若原碳原子有手性,则反应后构型保持不变。除反应中间体叠氮化物带有质子外,该反应与Curtius重排反应颇为类似,可看作对Curtius反应的改进。
哪一个R会迁移呢?答案是:
电子越密,支链多的先
注意事项
如果你不看反应机理,这样的加法很像拜耳-魏立格重排(这是加氧)
相关案例

形成内酰胺的,这个是受到位阻影响

成环往往是五元环或六元环稳定,因此在这个位置很合理

还可以通过da反应来快速构建多环

含氮重排反应表:
| 名称分类 | Hoffmann 重排 | Beckmann 重排 | Wolff 重排 | Losen 重排 | Schmidt 反应 | Curtius 重排 |
|---|---|---|---|---|---|---|
| 改进 / 衍生反应 | Hoffmann-Löffler-Freytag 反应 | / | / | / | / | Shiori 改进法(DPPA 替代 NaN₃) |
| 底物 | 一级酰胺 | 酮肟 | α- 重氮酮 | O - 酰基异羟肟酸 | 羧酸、酮、醛 | 羧酸、酰卤、酯 |
| 特殊含氮基团 | N - 卤代酰胺中间体 | 肟基团(-C=N-OH) | 重氮基团(-N₂) | 异羟肟酸酯基团 | 叠氮酸(HN₃)或烷基叠氮 | 酰基叠氮中间体 |
| 反应条件 | 次卤酸盐 + 强碱,加热 | 强酸或 Lewis 酸 | 光解 / Ag₂O 催化,加热 | 强碱,加热 | 强酸 / Lewis 酸,加热 | 叠氮化物,惰性溶剂加热 |
| 产物 | 少一个碳的伯胺 | N - 取代酰胺 | 烯酮 | 异氰酸酯 | 羧酸→伯胺;酮→酰胺;醛→腈 | 异氰酸酯 |
| 选择性 | 构型保留 | 反式迁移(与羟基反位基团) | 迁移基团构型保留 | 迁移基团构型保留 | 基团迁移能力决定产物 | 迁移基团构型保留 |
| 特点 | 1,2 - 重排;协同重排 | 1,2 - 重排;立体专一性 | 1,2 - 重排;协同 / 碳烯机制 | 1,2 - 重排;分步重排 | 1,2 - 重排;高活性 | 1,2 - 重排;协同重排 |
| 进一步反应 | 异氰酸酯水解 | 酰胺水解 / 还原 | 烯酮与水 / 醇 / 胺反应 | 异氰酸酯水解 / 醇解 / 氨解 | 异氰酸酯水解 | 异氰酸酯水解 / 醇解 / 氨解 |
| 进一步产物 | 胺、氨基甲酸酯、脲 | 羧酸、胺 | 羧酸、酯、酰胺 | 伯胺、氨基甲酸酯、脲 | 胺、酰胺 | 伯胺、氨基甲酸酯、脲 |