Skip to content

(Anionic) Oxy-Cope 重排

IMG_2041.jpeg

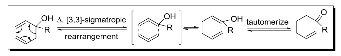
如果在碳3上连了一个羟基,那么用一个强碱,例如氢化钾,可以在低很多的温度下实现Cope重排,这种特殊的反应叫做“Oxy-Cope重排”。如下图所示,经过中间体烯醇的酮-烯醇互变异构,最终得到一个醛或一个酮。

Anionic Oxy-Cope 重排

image.png

开幕雷击,我cope两次不行吗?

image.png

Oxy-Cope 重排

image.png

image.png