Gomberg-Bachmann 反应
重要程度: ⭐
简介

机理
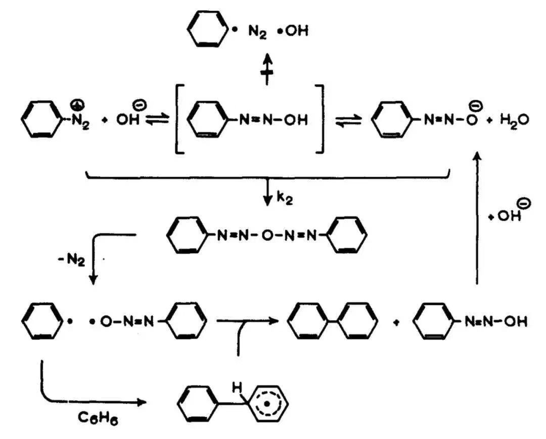
两分子重氮盐形成双重氮氧化物后消除一分子 N2 ,得到苯自由基,进而对另外的(杂)芳香烃加成得到最终的联芳香烃产物。

特点
该反应具有快速、操作简便的特点,尤其适用于含吸电子基团的芳基重氮盐。但该反应存在固有缺陷,如重氮盐的不稳定性和反应中会生成焦油副产物。为此,研究者对该反应进行改进,开发出在相转移条件下使用稳定的芳基重氮四氟硼酸盐的新方法[ J. Org. Chem., 1984, 49, 1594]。
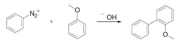
若与重氮盐偶联的苯环上有取代基,不论是什么取代基,反应都发生在取代基的邻对位,通常邻位为主要产物【Tetrahedron (2020), 76(47), 131632 】。
注意事项
相关案例

