Skip to content
OrganxyLab
Search
K
Main Navigation
首页
进入笔记库
每周音乐榜
进入工具库
Appearance
宽屏
Menu
Return to top
On this page
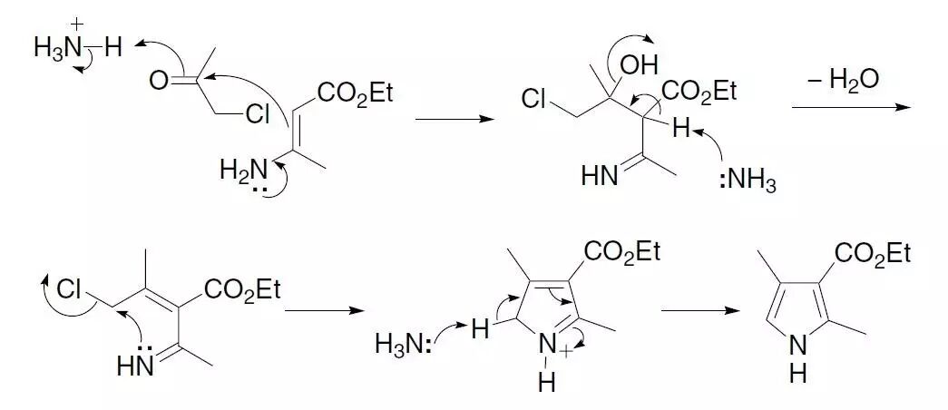
Hantzsch 吡咯合成
简介
α-卤代甲基酮,β-酮基酯和氨缩合得到吡咯的反应。
机理
特点
注意事项
相关案例