Friedel-Crafts反应
中文: 傅-克反应 重要程度: ⭐⭐⭐⭐


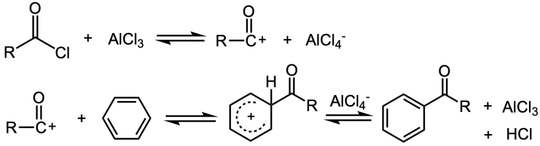
傅-克烷基化和酰基化,主要由碳正离子进攻苯环,路易斯酸可以结合卤,从而使碳正离子暴露出来,成为强的亲核试剂。
常用的Lewis酸有:AlCl3,BeCl2, CdCl2, BF3, BBr3, GaCl3, AlBr3, FeCl3, TiCl4, SnCl4, SbCl5, 三卤代镧系金属盐和烷基卤化铝 (AlRX2)。
请注意:傅克烃基化中由于受到C正离子的重排,因此会产生多种重排反应。故在设计饱和卤代物(不能稳定生成碳正离子)合成路线时一般采用酰基化,再使用克莱门森/黄鸣龙等还原酰基
F-C酰基化特例:
参考: