Claisen 重排
重要程度: ⭐⭐⭐⭐
简介

烯丙基苯基醚加热可以重排为C-烯丙基苯酚,是第一个被发现的[3,3]-σ迁移重排。
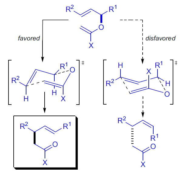
此反应是强力生成碳碳键的反应,加热烯丙基烯基醚通过[3,3]-σ迁移重排生成 γ,δ-不饱和羰基化合物的反应。另外
Corey–Claisen 反应,(未提及)
Kazmaier–Claisen反应, (未提及)
Saucy–Claisen反应; (未提及)
Caroll重排,单开一个
都属于这个系列的反应。Claisen重排反应是协同反应。
机理


特点
Claisen重排反应属于放热反应 (大约84 kJ/mol),属于协同周环反应,[3,3]-σ迁移重排,遵循Woodward-Hoffmann规则的同侧反应路径。此反应的溶剂效应明显,大极性溶剂会加速反应,质子化溶剂反应速率较快,如乙醇/水体系溶剂将近是环丁砜溶剂的10倍。三价有机铝试剂,如三甲基铝可以加速反应。
相关案例
第一个案例就很精辟:
请注意33在哪



苯并噻唑也可以!
