Skip to content

Ritter 反应

重要程度: ⭐⭐

简介

hevc.png

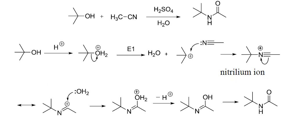
在强酸环境下醇和腈反应制备酰胺的反应。叔碳或苄位的碳正离子比较稳定,如果体系中有合适的亲核试剂,碳正离子可以与这些亲核试剂反应。利用这一点,如果在体系中加入腈,酰胺,叠氮等亲核试剂做胺源,可以制备各种胺或胺的衍生物。

机理

可以看到似乎是碳正离子让氰基亲核,欧耶

hevc.png

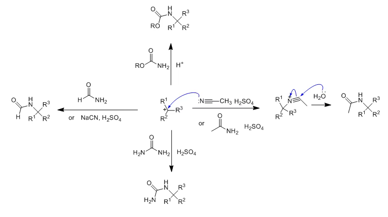
特点

hevc.png

注意事项

含有氰基的底物在进行脱Boc时,脱掉的叔丁基正离子会和氰基进行Ritter反应得到N-叔丁基酰胺副产物。

相关案例

IMG_2032.jpeg

有cn导致不幸发生副产物

hevc.png

氧桥断开,一边碳正,然后烯丙基转化,使碳正转移到下方,然后等着氰基进攻

hevc.png

hevc.png

基于 MIT 许可发布