Skip to content
OrganxyLab
Search
K
Main Navigation
首页
进入笔记库
每周音乐榜
进入工具库
Appearance
宽屏
Menu
Return to top
On this page
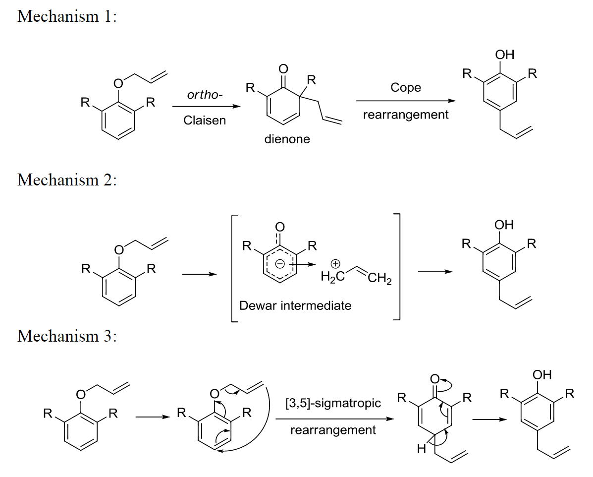
芳基对位Claisen 重排
机理
(特么有三个说法):
eg