酯的热裂
重要程度: ⭐⭐
简介

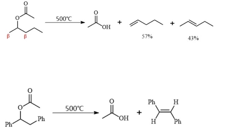
酯在400~500°C的高温进行裂解,产生烯烃和相应羧酸的反应称为酯的热裂,也即酯的热消除反应。该反应属于Ei消除反应,只适用于对热稳定的化合物。
即酸性大,空阻小的betaH,同时,反应为顺式消除,反扎伊采夫原则。
机理
采用六元环协同机理

特点
①这是一个分子内通过环状过渡态的消除反应,分子的反应构象处于重叠型,被消除的酰氧基和β氢原子是同时离开的并处于同侧,故反应是顺式消除。
②羧酸酯有两种β氢,可得到两种消除产物,以酸性大、位阻小的β氢被消除为主要产物。
③若被消除的β位有两个氢,以E型产物为主。
该反应的优点是酯的热消除产生烯烃时双键不会发生转移,避免了醇在酸催化下失水成烯,形成较稳定的烯烃而发生双键的转移。
相关案例
