Béchamp 还原
重要程度: ⭐⭐
简介

1854年,Bechamp首先报道了利用铁粉还原芳香硝基化合物合成芳香伯胺反应,此反应被称为Bechamp还原反应。制备芳胺一般而言,最干净和简便的还原方法就是通过Pd/C或Raney Ni加氢,但是当分子内存在对加氢敏感的官能团,如:卤素(Cl, Br and I; F 对加氢不敏感),双键,三键,氰基,羰基时,我们不得不采用其他方法, 最为经典的要数铁粉的还原。
机理
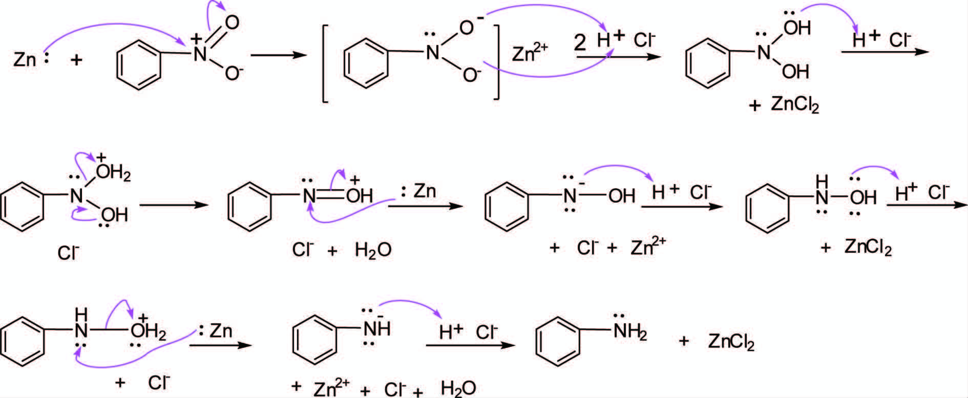
(Zn举例)

特点
借助Zn、Fe、Sn等金属单质或FeSO4、SnCl2等金属盐,在Brønsted酸存在的情况下达到同样的目的(Béchamp还原)。
如上图机理中,反应体系中除了产物还有亚硝基,然后芳香亚硝基化合物和羟胺,亚硝基化合物会和产物氨基生成偶氮化合物,羟胺和亚硝基化合物也反应生成偶氮氧化物,这些偶氮化合物根据结构可能会呈现橙色、红色、深红色乃至红褐色,再加上一些其他杂质,很容易呈现偏黑色。
相关案例

